RNF রাজগঞ্জ: হাইকোর্টের নির্দেশে ‘অযোগ্য’ ১৮৩ জন শিক্ষকের তালিকা ইতিমধ্যেই প্রকাশ করেছে স্কুল সার্ভিস কমিশন (SSC)। সেই তালিকায় থাকা শিক্ষকদের বেআইনি সুপারিশে চাকরি হয়েছে বলে দাবি। তাদের শিক্ষকতার চাকরি অবিলম্বে বাতিলের নির্দেশ দেওয়া হয়েছে ইতিমধ্যেই। ১৮৩ জন শিক্ষকের তালিকায় রাজগঞ্জ এবং পার্শ্ববর্তী গজলডোবার দুই স্কুলের দুই শিক্ষকের নাম রয়েছে।
তবে সংলিস্ট স্কুলগুলিতে খোঁজ নিয়ে দেখা গেল ওই নামের কোনও শিক্ষক’ই ওই স্কুলে শিক্ষক হিসেবে নিযুক্ত হননি, আগেও পড়াতেন না। তালিকা প্রকাশের পর থেকেই এই নিয়ে বিভ্রান্তি তৈরি হয়েছে। ‘নাম খারাপে’র অভিযোগ তুলে বিরক্ত প্রকাশ করেছে স্কুল কর্তৃপক্ষ। যদিও শিক্ষা দপ্তরের দাবি, বিভ্রান্তির কোনও ব্যাপার নেই। ‘হয়ত’ সেই সব স্কুলে নিয়োগের কথা ছিল, তবে বেআইনি সুপারিশ থাকায় তা ‘হয়ত’ পরে বাতিল হয়েছে।
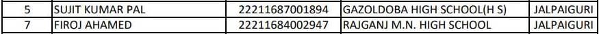
বেআইনি সুপারিশে চাকরি পাওয়া ১৮৩ জনের শিক্ষকের তালিকায় জলপাইগুড়ি জেলার ৮ জনের নাম রয়েছে। এদের মধ্যে রাজগঞ্জ এবং পার্শ্ববর্তী গজলডোবার দুটি স্কুলের দুই শিক্ষকের নাম সেই তালিকায় রয়েছে বলে উল্লেখ করা আছে। তালিকা অনুযায়ী, রাজগঞ্জ মহেন্দ্রনাথ হাই স্কুলের ইতিহাস শিক্ষক ফিরোজ আহমেদ এবং গজলডোবা হাই স্কুলের ভৌত বিজ্ঞানের শিক্ষক সুজিত কুমার পালের চাকরি বেআইনি সুপারিশে হয়েছিল বলে দাবি করা হয়েছে। যদিও ওই নাম এবং বিষয়ে সংলিস্ট স্কুলগুলিতে কোনও শিক্ষক’ই নেই বা ছিলেন না।
রাজগঞ্জ মহেন্দ্রনাথ স্কুলের স্কুলের ভারপ্রাপ্ত প্রধান শিক্ষক ভুপেন চন্দ্র রায় বলেন, ২০২১ সালে দীপিকা ঘোষ নামের এক শিক্ষিকা (ইতিহাস) স্কুলে এসেছেন তবে ফিরোজ আহমেদ নামের কেউ তাদের স্কুলে কস্মিনকালেও ছিলেন না। স্কুল পরিচালনা সমিতির সভাপতি শেখ ওমর ফারুক এই ব্যাপারে বলেন, ফিরোজ আহমেদ নামের কোনও শিক্ষক স্কুলে ছিলেনই না। এই নামের কেউ আসেনি। এই ঘটনায় স্কুলের নামে ভুল বার্তা ছড়াচ্ছে। যেটা কাম্য নয়। কিভাবে ওই ব্যক্তির নাম রাজগঞ্জ মহেন্দ্রনাথ স্কুলের তালিকায় এল তা তাঁর ধারণার বাইরে। এই ঘটনার তদন্ত হওয়া উচিত বলে মনে করেন তিনি।
গজলডোবা হাইস্কুলের প্রধান শিক্ষক সুজিত কুমার পাল বলেন, তিনি ২০১৯ সালে ওই স্কুলের প্রধান শিক্ষক হিসেবে নিযুক্ত হয়েছেন। তিনি অঙ্কের শিক্ষক। অথচ স্কুল সার্ভিস কমিশনের বাতিলের তালিকায় তাঁরই নামে তাঁরই স্কুলে অন্য কোনও শিক্ষক নিযুক্ত হয়েছেন, যার বিষয় ভৌত বিজ্ঞান, এমনটা দেখানো হয়েছে। যা একেবারেই ভুল। তাঁর কথায়, এরকম কাকতালীয় ব্যাপার কিভাবে ঘটতে পারে? একই স্কুলের একই নামের দুই বিষয়ের শিক্ষক। একজন অযোগ্য এবং একজন ‘হেডমাস্টার’? এই ব্যাপারে সুজিত বাবুর আরও অভিযোগ, তিনি এই ঘটনার পর মানসিক ভাবেও হেনস্থা হয়েছেন। তিনিও চান, সত্য উদঘাটন হোক।
যদিও এই ব্যাপারে জেলার স্কুল পরিদর্শক রাধিকা গোলে বলছেন, স্কুল সার্ভিস কমিশনের ১৮৩ জনের তালিকা নিয়ে বিভ্রান্তির কিছু নেই। ওই স্কুলে শিক্ষক নেই। তবে হয়ত ওই স্কুলে সেই সেই ব্যক্তির শিক্ষক হিসেবে নিয়োগ হওয়ার কথা ছিল।
প্রসঙ্গত, শুক্রবার কলকাতা হাইকোর্টের বিচারপতি অভিজিৎ গঙ্গোপাধ্যায়ের নির্দেশে বেআইনি সুপারিশে চাকরি পাওয়া ১৮৩ জন ‘অযোগ্য’র নামের তালিকা প্রকাশ করেছে স্কুল সার্ভিস কমিশন (SSC)। তাঁদের চাকরি ‘ভুল সুপারিশে’ হয়েছে বলে এসএসসি তাদের বিজ্ঞপ্তিতে লিখেছে। তালিকা অনুযায়ী জলপাইগুড়ি জেলার ৮ জনের নাম রয়েছে।
সেই ৮ জনের মধ্যে রাজগঞ্জের একটি এবং পার্শ্ববর্তী গজলডোবার একটি স্কুলের শিক্ষকের নামও সেই তালিকায় রয়েছে। বলা হয়েছে, গজলডোবা হাইস্কুলের ভৌত বিজ্ঞানের শিক্ষক সুজিত কুমার পাল এবং রাজগঞ্জ মহেন্দ্রনাথ হাইস্কুলের ইতিহাস শিক্ষক ফিরোজ আহমেদ। যদিও এর কোনও অস্তিত্বই নেই বলে দাবি করা হচ্ছে শিক্ষা মহলে। এই ঘটনায় বিরক্তি জাহির করেছেন তাঁরা।


